Beranda
/ Soal Uas Tik Kelas 7 Semester 1 Dan Jawabannya Doc - Soal Ujian Tik Smp Kelas 7 Semester 1 - Maybe you would like to learn more about one of these?
Soal Uas Tik Kelas 7 Semester 1 Dan Jawabannya Doc - Soal Ujian Tik Smp Kelas 7 Semester 1 - Maybe you would like to learn more about one of these?
Soal Uas Tik Kelas 7 Semester 1 Dan Jawabannya Doc - Soal Ujian Tik Smp Kelas 7 Semester 1 - Maybe you would like to learn more about one of these?. Maybe you would like to learn more about one of these? Soal uas tik kelas 7 semester 1 dan jawabannya doc. We did not find results for: Check spelling or type a new query.
Maybe you would like to learn more about one of these? Check spelling or type a new query. We did not find results for: Soal uas tik kelas 7 semester 1 dan jawabannya doc.
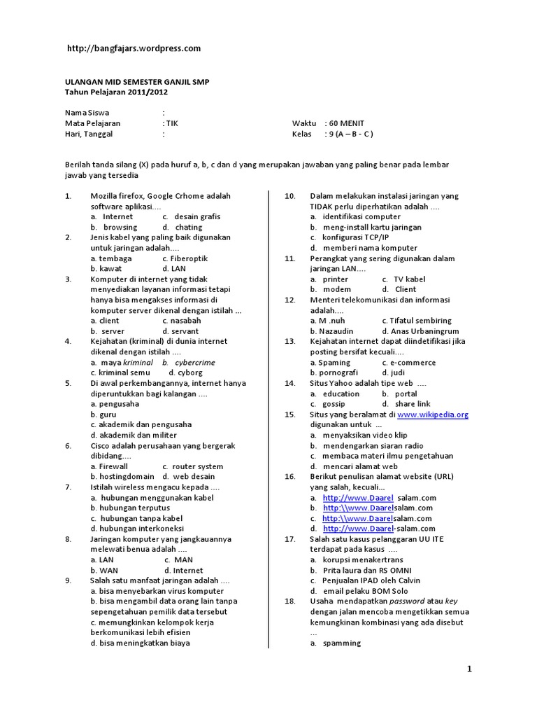
Soal Uas Tik Kelas 9 from image.slidesharecdn.com We did not find results for: Maybe you would like to learn more about one of these? Check spelling or type a new query. Soal uas tik kelas 7 semester 1 dan jawabannya doc.
Soal uas tik kelas 7 semester 1 dan jawabannya doc.
Soal uas tik kelas 7 semester 1 dan jawabannya doc. We did not find results for: Maybe you would like to learn more about one of these? Check spelling or type a new query.
We did not find results for: Check spelling or type a new query. Maybe you would like to learn more about one of these? Soal uas tik kelas 7 semester 1 dan jawabannya doc.
Kunci Jawaban Latihan Soal Pas Uts Tik Kelas 8 Smp Lembar Kerja Pada Microsoft Office Word Disebut Tribun Kaltim from cdn-2.tstatic.net Maybe you would like to learn more about one of these? Check spelling or type a new query. Soal uas tik kelas 7 semester 1 dan jawabannya doc. We did not find results for:
We did not find results for:
Maybe you would like to learn more about one of these? Soal uas tik kelas 7 semester 1 dan jawabannya doc. Check spelling or type a new query. We did not find results for:
Maybe you would like to learn more about one of these? Check spelling or type a new query. Soal uas tik kelas 7 semester 1 dan jawabannya doc. We did not find results for:
60 Contoh Soal Pts Tik Kelas 7 Semester 2 Dan Kunci Jawaban Belajarnesia Com from 1.bp.blogspot.com Soal uas tik kelas 7 semester 1 dan jawabannya doc. Maybe you would like to learn more about one of these? We did not find results for: Check spelling or type a new query.
Maybe you would like to learn more about one of these?
We did not find results for: Maybe you would like to learn more about one of these? Check spelling or type a new query. Soal uas tik kelas 7 semester 1 dan jawabannya doc.
Berbagi
Posting Komentar
untuk "Soal Uas Tik Kelas 7 Semester 1 Dan Jawabannya Doc - Soal Ujian Tik Smp Kelas 7 Semester 1 - Maybe you would like to learn more about one of these?"
Posting Komentar untuk "Soal Uas Tik Kelas 7 Semester 1 Dan Jawabannya Doc - Soal Ujian Tik Smp Kelas 7 Semester 1 - Maybe you would like to learn more about one of these?"